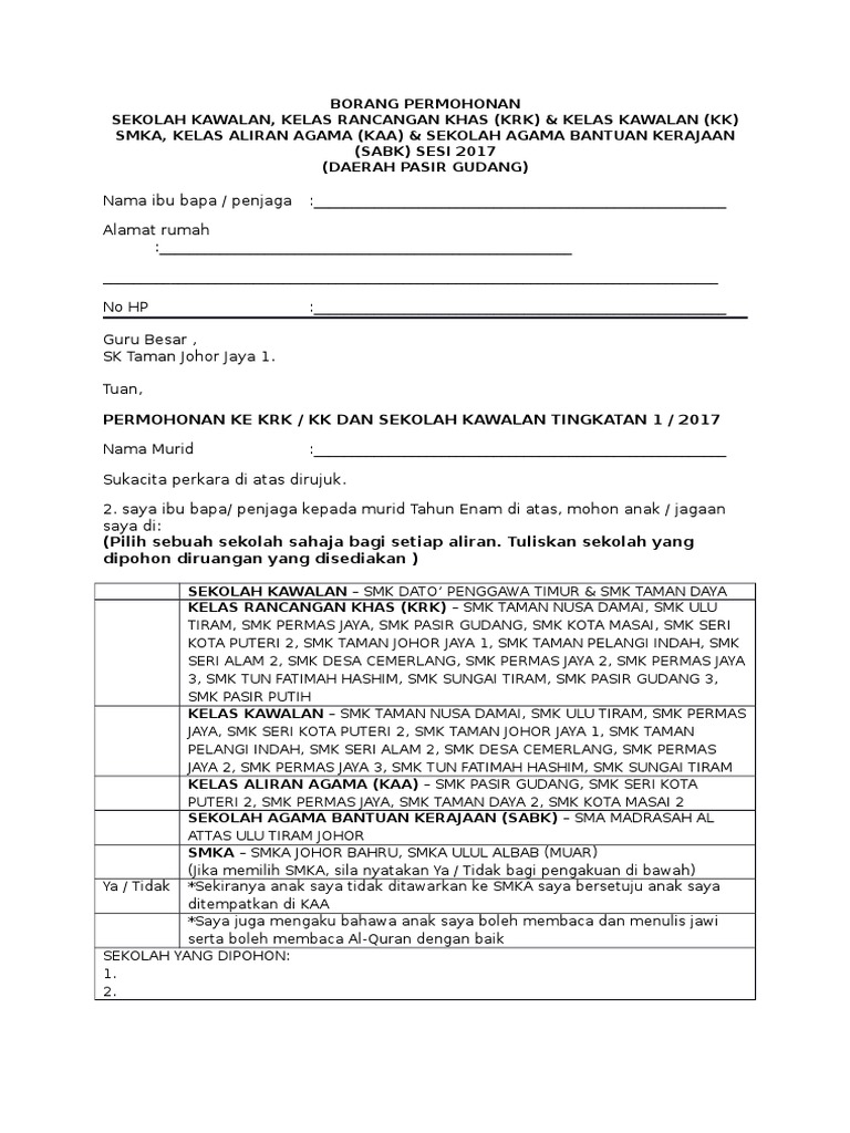
Borang Permohonan Ke Sekolah Kawalan
Sebagai maklumat tambahan tarikh borang permohonan dikeluarkan diedarkan adalah turut bergantung kepada pengurusan sekolah. Borang permohonan akan diedarkan melalui sekolah masing-masing dan pengisian maklumat dalam borang permohonan Sekolah Kawalan 2020 boleh dibuat oleh ibu bapa atau penjaga.


Permohonan Sekolah Kawalan 2022 Smka Kaa Sabk Krk

Permohonan Sekolah Kawalan 2022 Smka Kaa Sabk Krk Tingkatan 1

Permohonan Tingkatan 1 Sekolah Kawalan Putrajaya 2021 Smka Kaa
Borang Permohonan Sekolah Kawalan
Belum ada Komentar untuk "Borang Permohonan Ke Sekolah Kawalan"
Posting Komentar